설명 편의상 존칭은 생략 합니다
다이폴 안테나에 대해 정확한 근거가 없는 여러가지 얘기를 듣게 된다.
1. 다이폴에 접지를 해야 한다.
2. 바룬을 쓰지 않는게 좋다.
3. 케이블 길이를 XX.Xm 맞춰야 한다.
4. 케이블 길이를 맞춰야 신호가 좋아진다.
그러나 "왜 그런지" 이유에 대해서 설명해주는 사람이 없다.
내가 해보니 "좋더라" 가 근거의 전부 이다. (위의 4가지 사항은 글의 끝 부분에 설명한다)
우리는 전파를 다루고 있다.
전파는 고주파 에너지(RF) 이며 이것은 기술과 과학의 영역이지 종교와 신념의 영역이 아니므로 어떤 현상이 발생하면 그것에 대해 설명할 수 있어야 한다.
이 모든 것은 급전선에 존재하는 CMC(공통모드 전류)와 관련이 있다. (CMC 개념에 대한 것은 이전 글 참고)
CMC 와 급전선 길이에 무슨 관계가 있는지 설명하기 앞서서 모두가 알고 있는 안테나 엘레먼트의 길이에 따른 전류 흐름 영향을 아래 보인다.
먼저 파장의 1/2 엘레먼트 상황

그리고 파장의 1/4 엘레먼트 상황을 아래 보인다.

여기까지는 익히 알고 있는 내용이며. 여러 길이의 엘레먼트를 붙인 멀티밴드용 팬 다이폴(멀티밴드 다이폴)이 위의 특성을 이용한다.
그러나 엘레먼트가 접지 되면 아래 그림처럼 전류 상황이 반대가 된다.


왜 이렇게 되는가, 1/2 파 길이 에서는 끝부분의 임피던스를 반환하므로 끝부분이 접지되어 임피던스가 낮아지면 당연히 전류가 증가한다. 그러나 1/4 파 길이에서는 끝부분의 접지로 임피던스가 내려가면 오히려 반대쪽은 임피던스가 올라간 것처럼 보인다.
이것은 아래 그림의 급전선과 같은 원리이다.
아래처럼 1/4 파장 길이에서 끝이 개방된 급전선은 쇼트된 것처럼 보이고

반대로 아래처럼 1/4 파장 길이에서 끝이 쇼트된 급전선은 개방된 것처럼 보인다.

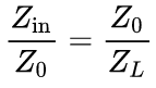
1/4 파 길이에서 입력 임피던스(Zin)와 부하 임피던스(ZL) 는 특성임피던스(Zo) 기준으로 역관계에 있으므로 부하임피던스 ZL 이 0(Short) 에 가까워질수록 입력 임피던스 Zin 은 무한대 방향으로(Open) 로 커진다.
(물론 그 반대는 역이다, 이전에 올린 급전선 길이와 임피던스 변환에 관한 글 참고)

여기까지 대충이라도 이해 됐다면 아래 두 상황이 반대인 것을 알 수 있다.
먼저 배터리로 구동되며 접지가 안된 무전기로 급전하는 경우(플로팅 된 상태)

접지가 안되어 그라운드로부터 완벽하게 플로팅 된 상태라면 급전선 길이를 1/2 파 배수로 유지하면 CMC 가 최소로 된다.
아래는 별도의 접지라인을 통해 접지된 무전기로 급전하는 경우

접지가 된 상태라면 급전선 길이를 1/4 파 홀수배로 유지하면 CMC 가 최소로 된다. 단 여기서 "급전선" 의 길이에는 접지 포인트까지의 경로 길이가 포함되어야 하며 접지는 양호한 접지 저항을 제공해야 한다.
모두가 다른 환경에서 안테나와 무전기를 운용하므로 모든 경우에서 CMC 를 해결하는 마법의 법칙(고정된 길이의 급전선)은 존재하지 않으며 조건(환경)에 따라 다르게 된다. 모든 상황에서 공통적으로 효과가 있는 것은 이상적인 바룬의 사용이다.
● 전술한 대로 급전선 길이에 의해 CM 임피던스가 변화 하므로, 조건을 제약하여(여기서는 양호한 접지가 있다는 가정 하에) 이것을 적절히 이용할 수 있다. 아래는 급전선 길이로 CMC 를 완화시키는 예시이다.
※ 여기서 말하는 급전선 길이는 CMC 경로(급전선 표면)상의 길이를 얘기하는 것이므로 급전선 마다 다른 단축률하고는 상관이 없다.
■ tomthompson 은 1/2 파 배수의 급전선 길이에서 CMC 문제가 발생할 경우 급전선 길이에 1/8 파 길이를 더하거나 빼면 CMC 의 영향을 완화시킬 수 있음을 보여준다.
이것은 1/2 파 배수 길이의 급전선으로 CMC 문제가 발생했을 때 간단히 1/8 길이(3.5 메가에서 10미터, 7 메가에서 5미터) 급전선을 추가(바꿔 말해서 급전선의 접지 포인트를 뒤로 이동시키는 방법) 하면 CMC 문제가 완화 된다는 의미이다.
http://www.tomthompson.com/radio/EHam_Articles/CommonMode/CommonMode.html

■ W8JI 는 급전점(피드포인트) 으로부터 1/4 파 홀수배 위치에 양호한 접지를 제공하여 CMC 를 최소화 하는 방법을 보인다.
여기서 헷갈리지 말아야 할 것은 접지가 CMC 를 흡수하는 것이 아니라는 것이다.
1/4 파 길이에서 끝단이 접지되면 반대쪽은 고임피던스가 되므로 CMC 가 못오도록 한다.(흡수가 아닌 반사개념)
전술한대로 1/2 파 배수 위치에 접지하면 급전점의 임피던스가 낮아져 CMC 가 왕창 흘러가는 역효과를 발생시킨다.
또한 확실한 고임피던스 변환 효과를 얻기 위해 양호한 접지(낮은 접지저항)가 필요하다.
https://www.w8ji.com/rfi_rf_grounding.htm

위 저자들의 실험 결과를 보면 알겠지만 경우에 따라 바룬이 없어도 CMC 는 충분히 억압될 수 있다.
이 때 "안써도 충분하다" 라는 의미를 "쓰지 말아야 한다" 로 왜곡하여 주장하는 경우가 있다.
바룬을 쓰던 급전선 길이를 조정하든 CMC 가 억압되면 그 결과는 같다. (모든 급전 전력이 안테나로 방사 됨).
대부분의 상황에서 바룬은 CMC 경로의 임피던스를 올리는데 도움이 되므로 특별한 이유가 있는게 아니라면 바룬을 쓰지 말아야 할 이유는 없다.
마지막으로 급전선 길이에 의해 CM 임피던스가 변했다는 의미는 급전선 표면에 CMC 반사파(급전선 내부의 반사파 SWR 을 의미하는 것이 아님)가 존재한다는 의미이므로 개인적으로 이것은 그다지 바람직하지 않은 선택이라고 생각한다.
이제 앞서 4 가지에 대한 개인적 생각이다.
1. 다이폴에 접지를 해야 한다 ?
정상적으로 설치된(CMC 가 통제된) 다이폴의 성능은 접지와 아무 상관이 없다.
잘못된 바룬(특히 성능 미상의 전압바룬)의 사용과 잘못된 설치환경(CMC를 유발하는 비대칭 설치)에서 위에 설명한 상황에 따라 접지에 의해 CMC 가 변하고 성능이 변하는 것처럼 보인다.
2. 바룬을 쓰지 않는게 좋다 ?
쓰는게 낫다. (손실이 최소인 제대로 된 전류바룬-초크바룬-)
이상적인 플로팅 또는 이상적인 접지를 얻을 수 있는 환경은 사실상 극소수 이므로 케이블 길이와 접지로 CMC 를 낮추더라도 완전하기 어렵고 해당 주파수(경우에 따라 배수)의 CMC 만 차단되며 다른 주파수는 여전히 케이블이 안테나로 작동하므로 바룬을 안써서 좋을게 없다.
3. 케이블 길이를 XX.Xm 에 맞춰야 한다.
급전선은 복잡한(지면, 전력선, 건물 및 각종 금속물체)경로로 들어오고, 리그는 다양한 경로를 통해 접지 되므로 CMC 최소화를 위한 급전선 길이를 특정 할 수 없다. (접지를 리그 아래에서 땅 속으로 바로 끌고 들어간게 아니라면..) 또한 CMC 는 급전선 표면을 타고오므로 단축률과는 무관하며 급전선의 주변상황(전도체, 유전체 등)에 의해 변한다.
4. 케이블 길이를 맞춰야 신호가 좋아진다.
방사효율이 떨어지는 열악한 안테나(과도한 단축)에서 급전선에 CMC 가 발생할 경우 급전선이 안테나로 작동하면서 안테나 성능이 높아지는 것처럼 보일 수 있고, 접지효과에 의해 CMC 가 증가하면 더욱 좋아지는 것처럼 보일 수 있다.
그러나 실상은 안테나 성능은 항상 일정하며 급전선이 안테나(레디얼로 작동)가 된 것이다.
정 리
1. 급전선 길이 변경으로 안테나 성능이 변하거나 RFI 가 발생한다면, 급전 계통에 CMC 가 있는 것이다.
2. 급전선 길이(또는 접지 위치) 조정을 통해 CMC 를 줄이는 것은 충분한 CM 임피던스를 제공하는 "양호한 바룬" 을 쓴다는 것과 결론적으로 같다. (= CMC 의 최소화 목적)
3. CMC 는 급전선 표면을 통해 주변으로 누설 되므로 급전선 길이가 길어질수록 완화되는 경향이 있다.
4. 성능이 열악한 안테나의 경우 급전선의 CMC 가 증가하면 안테나 성능을 향상(급전선이 안테나 또는 레디얼로 작동) 시키는 것처럼 보일 수 있다. (이런 상황이라면 차라리 롱와이어 안테나를 설치하는게 낫다)
5. 상기 4 와 반대의 상황, 즉 CMC 가 최소화된 상태에서는 이론상 모든 전력이 안테나 엘레먼트로 전달된 것이므로 이 경우 케이블 길이와 안테나 성능은 아무 관련이 없다.