이 글에서는 전송선로의 개념 중 혼동하기 쉬운 임피던스 변환 개념에 대해 설명합니다.
설명 편의상 존칭은 생략 합니다.

부하 임피던스와 급전선의 임피던스가 동일할 경우 케이블 길이는 아무 것도 변경하지 않는다. (중요)
케이블을 어떻게 자르더라도 임피던스는 항상 같으며 전송선로상에 반사파는 존재하지 않는다.

급전선의 공칭 임피던스(여기서는 50옴)와 부하 임피던스가 다르면 급전선은 길이에 따라 임피던스를 변환 한다.
급전선 길이에 따른 임피던스의 변화는 급전선과 부하의 임피던스 불일치로 인한 반사파의 존재가 원인 이다.
명심해야 할 것은 급전선을 얼마로 잘라내든 부하 불일치로 인한 급전선 내의 반사파는 없어지지 않는다는 것이다.
급전선이 점점 길어진다면 1/4 길이의 임피던스 변환은 홀수배 마다 반복되며, 1/2 길이의 임피던스 투과는 배수 단위로 반복된다. 따라서 1/4 홀수배 마다 25옴, 1/2 의 배수마다 100옴을 표시하게 된다.
즉, 1/2 길이의 배수는 급전선의 특성 임피던스와 상관없이 부하 임피던스를 반환하므로 어떤 임피던스를 가진 케이블이라도 이 길이 단위로 자른다면 임의 임피던스 부하에 사용이 가능하다.
예컨데 아래와 같이 사용할 수 있다.
75ohm -> (50ohm 케이블의 1/2 배수 길이) -> 75ohm
50ohm -> (75ohm 케이블의 1/2 배수 길이) -> 50ohm
50ohm -> (300ohm 케이블의 1/2 배수 길이) -> 50ohm
300ohm -> (50ohm 케이블의 1/2 배수 길이) -> 300ohm
이것은 만능 트릭인가?
No.
사용하는 주파수에 따라 각각 다른 길이의 케이블 또는 사용할 최저 주파수의 배수로 잘라낸 불필요하게 긴 케이블이 필요하다. 이것이 우리가 안테나, 케이블, 리그의 임피던스를 일치 시키는 이유이다.

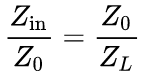
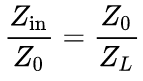
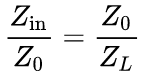
1/4 파장 전송선로는 임피던스를 변환하는데 자주 사용된다.
동일한 부하저항 값 이라도 전송선로의 임피던스에 따라 다르게 되며 변환은 아래의 공식에 따른다.
(https://en.wikipedia.org/wiki/Quarter-wave_impedance_transformer)


계산 예)
- 75옴 케이블과 100옴 부하에서 75/100 = 0.75
- 이 때 1/4 케이블 통해 보이는 입력 임피던스 z = 75 * 0.75 = 56.25 옴

보다 유용한 아래의 수식은 임의 임피던스 변환(입력과 부하 임피던스 지정)에 필요한 전송선로 특성 임피던스(공칭 임피던스)를 역산하는 수식이다. (https://eng.libretexts.org/Bookshelves/Electrical_Engineering/Electro-Optics/Book%3A_Electromagnetics_I_(Ellingson)/03%3A_Transmission_Lines/3.19%3A_Quarter-Wavelength_Transmission_Line)

계산 예)
- 입력에서 보이는 임피던스 Zin = 56.25 이고 부하 ZL = 100 일 때
- root(56.25 * 100) = 75 즉 1/4 길이의 75 옴 케이블이 필요함
급전선 길이가 SWR 을 변화시킨다 = 급전선에 반사파가 존재 한다 !

My Feedline Tunes My Antenna! (W1DX) Mar 1956 QST
(내 급전선이 내 안테나를 튠 한다!) , 1956 3월 QST 지
제대로 조정되지 않은 안테나는 실수부와 허수부를 포함한 복소 임피던스를 가질 것이므로 케이블 길이 조정을 통해 반대 리액턴스를 제공하여 최소 SWR 이 되는 것처럼 보이는 지점을 찾을 수도 있다. "것처럼 보인다" 는 의미는 전술한 대로 불일치로 인한 반사파는 항상 존재한다는 뜻이다.(반사파가 없으면 SWR 이 변하는 현상 자체가 일어나지 않는다)
대충 생각할 때 어떤 부하든 케이블 길이 조정으로 50 ohm 을 완벽하게 맞출 수 있다고 생각할지 모르겠지만 실제로는 그렇게 되지 않는다. 그림을 보면 100 ohm 부하에 연결된 50 ohm 케이블은 그 길이를 얼마로 조정하든 결코 50 ohm 의 완벽한 일치를 얻을 수 없다. 25 ohm 부하의 경우도 맞찬가지다.
50옴 전송선로에 임의의 "순저항(공진) 부하"가 연결되었을 때 "순저항 50ohm" 으로 보이는 유일한 경우는 케이블 임피던스와 동일한 50 ohm 말고는 존재하지 않는다. (200옴을 연결하면 1/4 파에서 50 이 되는거 아니야? 라고 한다면 그렇게 되지 않는다는 것을 전술한 계산식으로 직접 확인해 보기 바란다.)
1/4 파(그리고 홀수배) 길이에서는 어떠한 L, C 값도 추가하지 않고 부하 임피던스를 변환하고
1/2 파(그리고 배수) 길이에서는 어떠한 L, C 값도 추가하지 않고 부하 임피던스를 반환한다.
즉, 급전선의 특성 임피던스와 다른 부하는 케이블 길이에 따라 L 또는 C 가 추가된 것으로 보이며 1/2 파 길이에서만 원래 값을 보인다.
이런 이유로 부하 임피던스를 정확하게 측정(예를 들면 50옴 케이블을 가지고 125옴 부하 임피던스를 측정)하기 위해 종종 1/2 파 길이의 "측정용 케이블" 을 필요로 할 때 가 있으나, 이것은 칼리브레이션이 불가능한 구형 측정기(MFJ 259, 269 같은) 에 해당하고 VNA 의 경우 임의 길이 케이블 끝단(측정 기준점)에서 교정(open, short, 50ohm)을 실시 할 수 있으므로 케이블 길이는 사실상 문제가 되지 않는다.
이것은 모든 메이커에서 안테나 임피던스의 측정과 조정을 가능한 안테나와 가장 가까이(가능한 최소 급전선 길이)에서 진행 하도록 하는 이유이다. (일부 업체는 측정시 페라이트 비즈나 바룬을 장착하여 CMC 를 차단하고 진행하도록 권장한다). 만약 이 지시를 따르지 않는다면 안테나가 50옴이 아닌 엉뚱한 값으로 조정될 가능성이 있다.(개인적으로는 전술한 대로 VNA 사용을 권장한다.)
마지막으로 케이블 끝에서 보이는 SWR 과 상관없이 부하와 전송선로 사이의 임피던스 불일치가 크면 급전선 상에 존재하는 반사파의 (전압복, 전류복 지점 존재) 영향으로 손실이 매우 높게 발생할 수 있다는 것을 짐작 할 수 있다.(급전선의 품질과 길이, 주파수에 의해 따라 다름)
원문의 내용 "the swr is determined by the load, and don't you forget it." 을 옮겨 적는다.
SWR 은 부하(부하 임피던스)에 의해 결정된다. 그걸 잊지마라.
결론
우리가 사용하는 대부분의 안테나는 50 옴이다.
50 옴으로 잘 조정되고 설치된 안테나는 50옴 케이블 급전에 아무 문제가 발생하지 않는다
그럼에도 불구하고 안테나에 케이블 길이를 맞춰야 한다거나, 케이블로 매칭을 해야한다 라는 얘기를 종종 듣는다.
이 말은 바꿔 말하자면
"내 안테나는 50 옴이 아니라서 급전선에 반사파가 존재 한다"
라는 얘기다.
이때 해야 할 일은 케이블 길이를 조정하는 것이 아니고..
안테나가 50 옴이 되도록 조정하여 급전선 상의 반사파를 제거
해야 하는 것이다.
안테나가 50옴으로 올바르게 조정되어도 케이블 표면을 타고 흐르는 CMC(공통모드전류)로 인해 케이블 길이의 영향을 받을 수 있으며 아래 글들을 참고한다.
※ 쉽게 말해서 CMC 는 급전선이 RF 를 방사(안테나로 작동)하기 때문에 발생하는 현상이다. RF로 인한 장해, RF로 인한 화상(발열)의 주 원인이다. CMC 는 발룬을 사용하지 않거나, 발룬이 공통모드전류를 막지 못하는 경우(특히 전압발룬) 발생 할 수 있다. 안테나 시스템과 주변 환경에 의해 그 정도가 변할 수 있으며 아래 글들을 참고한다.
https://ds1orj.tistory.com/133
CMC 의 이해(1)
이 글에서는 CMC(Common Mode Current : 공통모드전류) 에 대한 개념에 대해 설명합니다. 이해를 돕기 위해 자유공간에 배치된 파장의 1/2 길이의 다이폴 안테나 환경을 가정합니다. 편의상 존칭은 생략
ds1orj.tistory.com
https://ds1orj.tistory.com/142
CMC 의 이해(2)
설명 편의상 존칭은 생략 합니다 다이폴 안테나에 대해 정확한 근거가 없는 여러가지 얘기를 듣게 된다. 1. 다이폴에 접지를 해야 한다. 2. 바룬을 쓰지 않는게 좋다. 3. 케이블 길이를 XX.Xm 맞춰야
ds1orj.tistory.com
https://ds1orj.tistory.com/168
CMC 와 급전선 길이 (4NEC2 시뮬레이션)
CMC (Common Mode Current) 는 공통 모드 전류라고 한다. 일반적으로 접지(Ground)에 대해 띄워진(Floating) 신호를 평형(Balance) 또는 차동(Differential) 신호라고 한다. 다이폴 안테나는 대표적인 밸런스(평형)
ds1orj.tistory.com
https://ds1orj.tistory.com/169
제이폴 안테나 CMC, J Pole Antenna
안테나 급전선에서 방사(결국 CMC)가 일어나면 문제가 발생한다는 것은 이전 글을 읽어보면 알 수 있다. CMC 를 막기 위해 다이폴에 발룬을 사용한다는 것은 대부분 알고 있지만 일부 안테나는 다
ds1orj.tistory.com