RF,HAM,Radio/ANTENNA

엔드피드 안테나와 FT240-52, FT240-61 바룬 측정

DS1ORJ 2021. 9. 9. 18:28

설명 편의상 존칭은 생략 합니다. 

 

2019년 봄. 3.5  7 모노 다이폴(21은 튜너로 운용)만 운용하다가 멀티밴드 안테나의 필요성을 느끼면서 몇가지 안테나의 검토가 시작되었다. 

 

설치 위치가 경사면이므로 끝단에서 급전하는 엔드피드가 가장 적합한 것으로 생각되었다.

광대역 임피던스 변환 트랜스포머를 사용하는 제프 안테나는 멀티밴드에 있어서 적어도 이론적으로 완벽해 보이는 안테나였다.(인터넷에는 이론적으로 완벽하지만 현실에서는 불완전한 자료가 너무 많고 그것을 검증하고 개선하는 것은 사용하는 사람의 몫이다. - 그것들이 무료 이므로 아무도 그것에 대해 책임지지 않는다 - ) 

 

이에 따라 기존의 디자인을 검토했으며 이때 VK1OD 의 자료를 발견하게 됐고(이전 게시글 참고) 최초의 64:1 바룬이 아래와 같이 만들어지는 계기가 된다.

FT240-43 코어 3개와 2T : 16T (사실상 6T : 48T)

FT8 운용시 손실로 인한 발열 분산을 위해 3개 사용

 

참고로 일부 오엠들이 이 바룬의 사진을 보고 어이 없다는 표정을 지은 경우도 있었음을 미리 밝혀둔다.

이렇게 설치된 3.5 메가 1/2 파장 엔드피드 안테나는 3.5 밴드에서 약 S9+15dB 의 평균 리포트를 받게된다.(참고로 동일 장소에서 송출되는 기준 안테나인 3.5 모노 다이폴의 평균 리포트는 S9+20dB 이다.) 

7 메가는 모노 다이폴과 비슷한 수준이고 하이밴드(21,28,50)는 7 메가 다이폴에 강제튜닝을 한 것과 비교할 때 송/수신 모두 너무 떨어지는 성능이었다.  권선비의 변경, 관통 코어의 사용, 어스의 위치 변경, 어스 분리 후 카운터 포이즈의 사용, 코어 개수의 변경, 캐피시터의 탈거, 엘레먼트의 형상 변경, 위치 변경... 뭘 해도 3.5 메가의 리포트에 큰 변동이 없었으므로 몇가지의 데이터만 남긴 채 약 6개월 간의  테스트 운용 후 결국 다이폴을 대체하지 못하고 내려왔다.

 

때 마침 안성의 DS2MYN 오엠이 포터블 모노 다이폴을 듀얼밴드(3.5, 7)로 변경하는 것을 고려하고 있기에 설치하기 편한 엔드피드 안테나에 대한 정보와 운용 결과를 전달하는 계기가 된다. (이후로 포터블 엔드피드 안테나의 테스트가 시작되어 지금도 이어지고 있다.)

 

DS2MYN 오엠의 64:1 바룬(3.5, 7 만 운용한다)

 

포터블 안테나의 성능 테스트는 설치장소 인근의 MYN 오엠 홈에 설치된 36m 롱와이어 안테나가 레퍼런스(기준) 안테나 역할을 하며 공간대의 영향을 배제하기 위해 매번 비교 측정 된다. 

기준 안테나는 3.5 메가에서 평균 S9+20dB ,  인근에 설치된 단축 엔드피드 안테나는 지상고 4 미터에서 평균  S9+15dB,  매번의 테스트에서 기준 안테나와 약 5dB 내외의 차이를 보인다. 이해가 안가는 수치.

 

1년 넘는 테스트 과정 중에는 아래와 같은 변경도 함께 진행 되었다.

 

- 턴 수 변경(2:16 3:24 4:32) 

- 코어 변경(FT240-43, FT240-52, FT240-61) 

- 안테나 엘레먼트의 변경 

- 지상고의 변경

 

이 안테나는 더 높은 지상고에서도 평균적으로 S9+10dB 전후의 신호를 내는 것이 일반적이므로 이것은 너무 이상한 리포트 였다. 이것에 대한 해석이 필요했으므로 이 때부터 우리가 뭔가 놓치고 있는게 아닌가 하는 의문이 들게 된다. 

그 중에 깨닭게 된 한가지 사실은 우리가 아는 땅바닥은 실제로는 안테나 시스템의 일부분 이라는 것이다.  

 

아래 자유공간 하에서의 다이폴.

자유 공간에서의 다이폴 방사패턴 

 

이제 다이폴을 땅바닥에 내려놓는다고 가정한다. 

단, 여기서 땅바닥은 전기가 전혀 흐르지 않는다고 가정한다  (예컨데 지구가 플라스틱이라 가정한다)

 

지면이 완전 부도체라면 여전히 우리는 8 자 지향성을 볼 수 있다,  이 가정에서는 방사전력의 일부가 지면 아래로 들어가므로 실제 교신에 도움이 되지는 않을 것이다. 

 

이제 반대로 땅바닥을 완전도체로 가정하고 파장의 1/4 이하로 배치된 안테나의 지향성은 아래와 같다.

(지구가 금속 덩어리라고 생각한다) 

 

우리의 지표면은 부도체도 아니고 완전도체라고 하기도 어려우므로 위에 두 그림 사이 어딘가 있을 것이다. 

단지 어느 쪽이냐 라고 한다면 부도체 보다는 도체에 가깝다. 안테나의 지상고가 1/4 파장 이하라면 지표면은 마치 야기 안테나의 반사기처럼 작동하고 안테나에서 방사된 전파를 반사시켜 위로 보낸다.  이것은 DX 교신에는 도움이 안되지만 NVIS 교신을 하는 경우에는 이득이 되는 특성이다.  (다만 높이가 1/2 파장 올라가면 반사기의 효과는 거의 사라진다.)

 

여기서 중요한 것은 모든 지면이 다 양호한 반사기가 되지는 못한다는 것이다. 

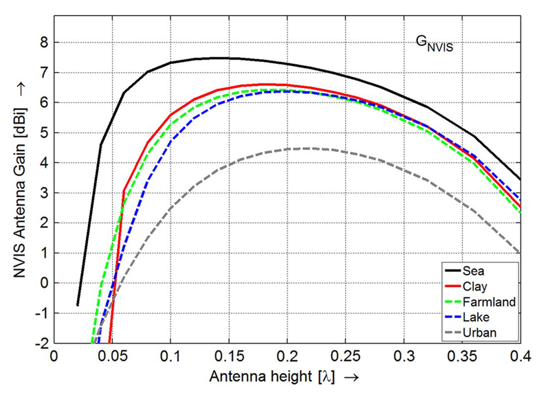
아래 2015 년 2월 IEEE Antennas and Propagation Magazine 에 실린 기사 내용 중 지면의 종류(사실상 전도율 차이)와 지상고에 따른 NVIS 안테나의 이득도표 이다. (https://www.researchgate.net/figure/NVIS-antenna-gain-d-G-NVIS-TH-of-a-horizontal-half_fig16_263054262 (반파장 5.39MHz 평균 이득의 다이폴 안테나, 주변 반경 150km 를 가정한 이득임.) 

Sea : 바다, Clay : 흙, Farmland : 밭, Lake : 호수(민물).  Urban : 도시

 

여기에는 안나오지만 사막(모래) 또는 암석(바위)가 거의 도시와 동급이며 건조한 지면은 값이 떨어진다.  (이것은 안테나 모델링에 있어 가장 먼저 고려되야 하는 수치이며 보통은 평균 지면 값을 쓴다.)

 

※ 도표 수치를 쉽게 해설 하자면 아래와 같다.

 

- 도시에 안테나를 치는 경우 지상고를 올린다 해도 NVIS 이득이 다른 지면에 있는 안테나를 못 이긴다.

  그래도 0.2 파장 까지 올라가면 그나마 낼 수 있는 최고 이득에 도달한다.(3.5 메가에서 16m)  

 

- 바다 위에서는 0.1 파장(3.5 메가에서 8m)만 올라가도 거의 최고의 NVIS 안테나 이득이 나온다.

  0.05 파장(3.5 메가에서 4m) 만 올라가도 맨땅에서의 최고 이득과 비슷하므로 아무도 이것을 이길 수 없다.

 

- 너무 올리면 NVIS 이득에 도움이 되지 않는다. (3.5에서 16미터(약 0.2파장) 이상 올라가면 줄어들기 시작)

 

정리하자면, 다른 모든 조건이 동일하다는 가정 하에, NVIS 에 있어서 안테나의 최고 성능은 이미 지면의 반사율에서 정해지고 지상고로 이득 차이를 극복 할 수 있는 문제가 아님을 알 수 있다.  개인적으로는 이것이 3.5 안테나(NVIS 특성을 가장 많이 이용)가 다루기 힘들다는 얘기가 돌게 된 이유가 아닐까 생각한다.

 

다만, 도시라고 다 같은 도시가 아니고 흙이 노출된 땅도 모두 같은 땅이 아니므로(수분, 미네랄 성분 등) 차이가 있을 수 있으며, 생각보다 더 나쁠 수도 있고 생각보다 더 좋을 수도 있다. (도표는 평균치임) 

또한 일부의 실험에서 다이폴 아래에 도체(레디얼, 카운터 포이즈 등)를 형성하여 성능을 올렸다는 결과를 볼 때 안테나가 설치된 곳 아래 지면(혹은 지붕)의 상황에 따라 이득이 달라질 수도 있을거라는 합리적 추정이 가능하다. (예시 :  https://www.arising.com.au/people/holland/ralph/counter.htm )

 

일반적으로 설치가 편한 엔드피드 안테나가 지면 반사가 열악한 도시에서 많이 선호되는 경향이 있으므로, 특히 3.5 메가에서 실제 안테나 성능보다 이득이 더 낮게 보일 수 있다는 가정을 해볼 수 있다.  반대로 아주 양호한 지면에 설치될 경우 이상하게 높게 나오는 수치가 불가능하지 않으므로 전술한 의문에 대한 것은 어느정도 풀리게 되었다. (테스트는 여전히 진행 중이다) 

 

서론이 길어지게 되었는데 52, 61 의 측정 데이터에 대해 설명한다.

 

참고로 61 의 초기 투자율은 약 125,  52 의 초기 투자율은 250,  43 의 초기 투자율은 약 800 이므로

43 과 투자율이 동일하려면 필요한 개수만큼 스택하든가 아니면 권선을 더 늘려야 하지만 여건상 한개로만 진행한다. 

 

https://www.fair-rite.com/materials/

 

※  61 재질 7 메가 수치는 이상하므로 3번 반복했으나 동일함

 

이 값들은 절대치가 아니며 측정 조건에 의해 바뀔 수 있다.

SWR 의 경우 두개의 연속이므로 부정확함.

SWR 개별 측정치(순저항 부하)는 맨 아래 첨부된다.

 

 

정 리 

- 대부분의 엔드피드가 3.5/7 에서 조정되어야 함을 감안할 때 로우밴드의 SWR 상승으로 정확한 안테나 조정이 어려움

  (임피던스가 제대로 변환되지 않아 SWR 이 다소 높음-인덕턴스 부족- 턴 수의 추가 또는 코어의 추가 필요) 

 

- 튜너를 사용할 경우 최종 손실은 상기 수치에 튜너의 삽입손실(10%전후)이 추가 되어야 한다.

   (따라서 발열은 튜너와 코어로 분산될 것이다.) 

 

- 튜너를 사용하더라도 사실상 전밴드 최종 손실은 61 이 가장 낮을 것으로 추정.

 

- "추세" 로 볼 때 턴수를 늘리면 하이밴드 손실이 다소 증가하고 로우밴드 손실이 개선될 것으로 예상됨.

 

P.S  어떠한 개별 문의도 받지 않습니다.   

     숟가락을 쓰는 방법을 알았다면 밥은 혼자서 떠 먹을 수 있으므로

     스스로 본인의 디자인을 검증하고 개선하고 그 결과를 아마추어 무선 발전을 위해 공유 할 수 있습니다.  

 

 

아래는 61 코어 3.3K 부하에서의 임피던스 특성 (원래 3.2K 여야 하나, 측정 오차에 큰 문제가 되지 않음)

 

아래는 52 코어 3.3K 부하에서의 임피던스 특성 (원래 3.2K 여야 하나, 측정 오차에 큰 문제가 되지 않음)